Top
關於MA
/
English
/
簡中
關於MA
市場瞭望
封面故事
產業掃描
技術趨勢
精選文章
新品介紹
線上閱讀
客服中心
廣告刊登
雜誌訂閱
聯絡我們
EN
簡中
SNS
你今天想知道什麼資訊?
GO!
目前位置
首頁
精選文章
技術趨勢
技術趨勢
刀具磨耗與加工時間 多目標最佳化之研究
2022.02.14∣瀏覽數:3297
刀具磨耗與加工時間
多目標最佳化之研究
文
◆
國立屏東大學智慧機器人學系 楊柏遠 助理教授、精機中心工具機產業發展處 張秉越 工程師
對於加工業者來說,利潤最大化是首要目標。考慮製造過程中影響獲利的因子,刀具成本和加工時間成本是製造過程的兩個主要成本。本研究透過實驗設計,藉由田口方法(Taguchi Methods)[1]-[3]之L16直交表蒐集實驗數據以檢查刀具磨耗量和加工時間之間的關係。規劃控制因子包含切深、切寬、線速度和每刃進給量。其次,建立模型分析來自實驗的刀具磨耗數據和加工時間數據。最後,通過柏拉圖最佳解,找出最小刀具磨耗和最短加工時間的最佳切削參數組合來增加生產的利潤。
在機械加工中,切削參數的選擇通常是根據業者的經驗以及刀具商的建議參數,彼此搭配來完成。切削參數包含切深、切寬、線速度和每刃進給量等,其參數設定值是影響加工過程的重要因素之一,因此正確選擇合適的切削參數組合對於產品品質,生產率及成本至關重要。因為經濟性和工藝性能取決於這些參數。而在每個加工過程中,刀具磨耗和加工時間對於生產獲利具有一定的影響,而通常刀具磨耗與加工時間是互相衝突的,因此本文透過多目標最佳化方法解決多衝突性的問題。
為了提升企業經營持續保持競爭力,不僅要降低成本,更要提升品質,因此,在本文中,通過使用多目標最佳化方法,優化切削參數,以縮短加工時間並減少刀具磨耗為目標。本文以無熱處理的中碳鋼 (S45C) 作為實驗工件進行銑削測試,以瑞士KISTLER的9257B通用動力計, 以及台灣YCM的NDV102A立式加工中心機為載具, 透過FANUC控制器 SERVO GUIDE軟體擷取控制器內部資訊[5]-[6],蒐集切削過程中的資訊,包含電流,位置,轉速等。透過訊號解析與建模,協助加工應用業者獲得多目標參數組合,提升企業獲利及競爭力。
檢測儀器設備介紹
控制器數據擷取軟體
透過控制器軟體可擷取主軸或伺服軸資訊,包含位置,速度,電流和誤差等資訊。加工過程中擷取這些訊號可以更客觀地判斷加工時間,同時也可以觀察比較電流,速度與刀具磨耗之間的變化關係。本文控制器載具為FANUC控制器,透過FANUC所提供之Servo Guide 軟體來擷取加工狀態下的主軸及伺服軸資訊進行觀察,如圖1所示,加工過程中蒐集位置、速度、電流和誤差等資訊,藍色線為進給軸位置訊號,紫色線為主軸電流訊號。
KISTLER 9257B通用動力計
圖2為瑞士KISTLER的9257B通用動力計,結構設計以確保可精確測量動態力和使熱效應影響達最小;精確測量之切削力訊號可用於刀具、刀把夾緊系統和潤滑改善,監控加工製程中刀具狀態的即時變化,且作為診斷工具來分析和優化切削製程規劃。
在切削研究中,動力計通常對應不同場域則有不同型號做應用,一般常見於銑削、車削與磨削等;應用KISTLER 9257B通用動力計,基本以搭配National InstrumentscDAQ-9171 (CompactDAQ機箱)、KISTLERType 5070 (電荷放大器)與訊號分析軟體CUTPRO做訊號擷取量測與分析之用。本文應用動力計進行切削力數據蒐集,目的為比較刀具磨耗趨勢及後續分析應用。
結合三項實驗方法推估
多目標最佳參數組合
本實驗結合田口方法(Taguchi Methods)[1]-[3]、線性回歸 (Linear Regression)[6]-[8] 和柏拉圖最適 (Pareto Optimality)[9],推估多目標最佳參數組合。利用切削參數群和L16直交表進行實驗。將L16直交表實驗結果建立刀具磨耗和加工時間的線性回歸,透過柏拉圖最適獲得最佳組合解。
田口方法
通過田口方法少量的實驗次數來研究大量的設計變數。設計變數的最佳組合可由直交表和信號噪音比表示。田口方法的基本概念是通過使用直交表進行部分實驗來最大化性能指標,對於減少實驗時間和提高收斂速度很有用。田口博士利用直交表與信號雜訊比等兩項工具,在實驗計劃中使工程參數的設計最適化,降低重要品質特性變異達到降低總合成本的目標。
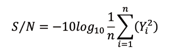
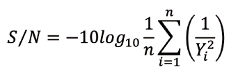
信號雜訊比依據不同品質特性來區分,包含望大、望小及望目特性,本研究將刀具磨耗和加工時間特性視為望小特性,不同信號雜訊比分別依以下公式計算:
① 望大特性:品質功能特性 Y 為非負值,且值越大越好,品質目標值最大化,望大型S/N 比定義:
② 望小特性:品質功能特性 Y 為非負值,且值越小越好,能夠是零最好,望小型 S/N比定義:
③ 望目特性:品質功能特性Y為有限定的目標值,期望值要能趨近於目標值,望目型S/N 比定義:
線性回歸
迴歸分析經常用在解釋和預測兩大方面。解釋方面,從取得的實驗數據中計算出迴歸方程式 (Regression equation),再透過迴歸方程式得知每個自變數對依變數的貢獻,常見應用如判定自變數對依變數的顯著性;預測方面,由於迴歸方程式是線性關係,我們可以估算自變數的變動,會帶給依變數的多大改變,因此可以使用迴歸分析來預測依變數未來的變動,進一步藉由回歸模型來進行補償或採取對應的回應。
柏拉圖最適
柏拉圖最適是多目標最佳化問題常見的解決方法之一,其概念係由義大利經濟學家維弗雷多‧柏拉圖所提出,其在多目標最佳化方法中的定義[9] 為解空間中的點 x* 稱為柏拉圖最優解,若且惟若在集合S中不存在另一個點x使得 f(x) <= f(x*) 與至少一個 fi(x) < fi(x*)。
假若有兩個目標函數,其中有一個解A,若在解空間內找不到其他更優於解A的解,即可說解A為柏拉圖最優解 (或稱最優點),而多個柏拉圖最優解則為形成柏拉圖最優前沿,從而可知在柏拉圖最優前沿中,並無法判別哪個為優。圖4為柏拉圖最優前沿示意圖,從圖可知,P1、P2、P3及P4皆為柏拉圖最優解,N1、N2及N3則不為柏拉圖最優解,由柏拉圖最優解的各個解所組成的線即稱為柏拉圖最優前沿,在這條線上的解皆為最優解。為了獲得柏拉圖最優前沿,可藉由多目標最佳化方法來獲取,目前常見的方法包含非支配排序遺傳演算法-II (Non-dominated Sorting Genetic Algorithm-II, NSGA-II) [10]、多目標粒子群演算法 (Multi-Objective ParticleSwarm Optimization, MOPSO) [11] 等。
本研究以中碳鋼 (S45C,無熱處理) 為切削材料來進行切削測試,採用CNC三軸立式加工中心機進行X軸直線行程的側銑切削,切削環境在室內空調25℃至27℃,切削冷卻方式採用氣冷方式冷卻,切削行程為80mm/道次。儀器設備搭配上KISTLER 9257B與控制器數據擷取軟體來進行實驗數據的蒐集。設備架設如圖5所示。
實驗刀具為直徑8mm之4刃未鍍層端銑刀,其控制因子水準設計如表1所示。主軸轉速及工作臺進給速度計算公式請參考公式 (1)和 (2)。
其中,VC是切削速度(m/min)、FZ為每刃進給量(mm/tooth)、DC則是铣刀直徑(mm)、n表示的是主軸轉速(min-1)、z為刃數以及vf 為工作臺進給速度(mm/min)。
兼顧刀具磨耗及加工時間,獲利極大化
本文提出結合田口方法、線性回歸及多目標演算法來估測最佳參數組合,實驗結果,利用電子顯微鏡進行刀刃磨耗評估,如圖6所示。每組合平均磨耗皆有所不同,透過電子顯微鏡對每組刀刃進行磨耗量測 (定義參照ISO 8688-2:1989, Tool life testing inmilling),磨耗數據皆以平均值表示,磨耗程度如圖7所示,第13組切削參數組合其刀具磨耗量最大,而第1組切削參數組合最低。因圖6、銑刀各組磨耗狀態切削路徑為X軸向進刀,最大切削力發生在其正交軸上,因此觀察Y軸向切削力結果與刀具磨耗程度相符,如圖8所示,第13組切削參數,其Y軸向切削力最大,而第1組切削參數,Y軸向切削力最低。從圖9可以得知刀具磨耗與加工時間呈現反比。分析推薦最佳參數組合分別為切深1.5mm,切寬4.8mm,線速度60m/min和每刃進給量0.065mm,提供加工應用業者可同時兼顧刀具磨耗及加工時間,將獲利極大化。
回上一頁列表
回首頁
MAonline 工具機與零組件雜誌